
Homework1
Original4/23/25About 8 min
Homework1
1. 第一章概述:
算法分析: 如何衡量效率(时间/空间复杂度)。
渐近符号 (O,Ω,Θ)用于描述增长速率。
2. 什么是递归?
2.1 调用栈
递归是一种编程技术,其中函数调用自身来解决同一问题的较小实例。它主要涉及两个阶段:
调用: 程序在此处反复调用自身,通常使用逐渐减小或更简单的参数,朝着"终止条件"前进。
返回: 触发"终止条件"后,程序开始从最深层的递归函数返回,逐层汇总每层的结果。递归是一种编程技术,函数通过调用自身来解决同一问题的较小实例。
基本情况: 停止条件(例如,解决一个简单的子问题)。
递归情况: 将问题分解成更小的子问题,直到达到基本情况。 示例: 计算阶乘(n! = n * (n-1)! 使用****基本情况 0! = 1)。
#include <iostream>
using namespace std;
int factorial(int n) {
if (n == 0) {
return 1;
}
return n * factorial(n - 1);
}
int main() {
int n ;
cin>>n;
int result = factorial(n);
cout << "Factorial of " << n << " is " << result << endl;
return 0;
}
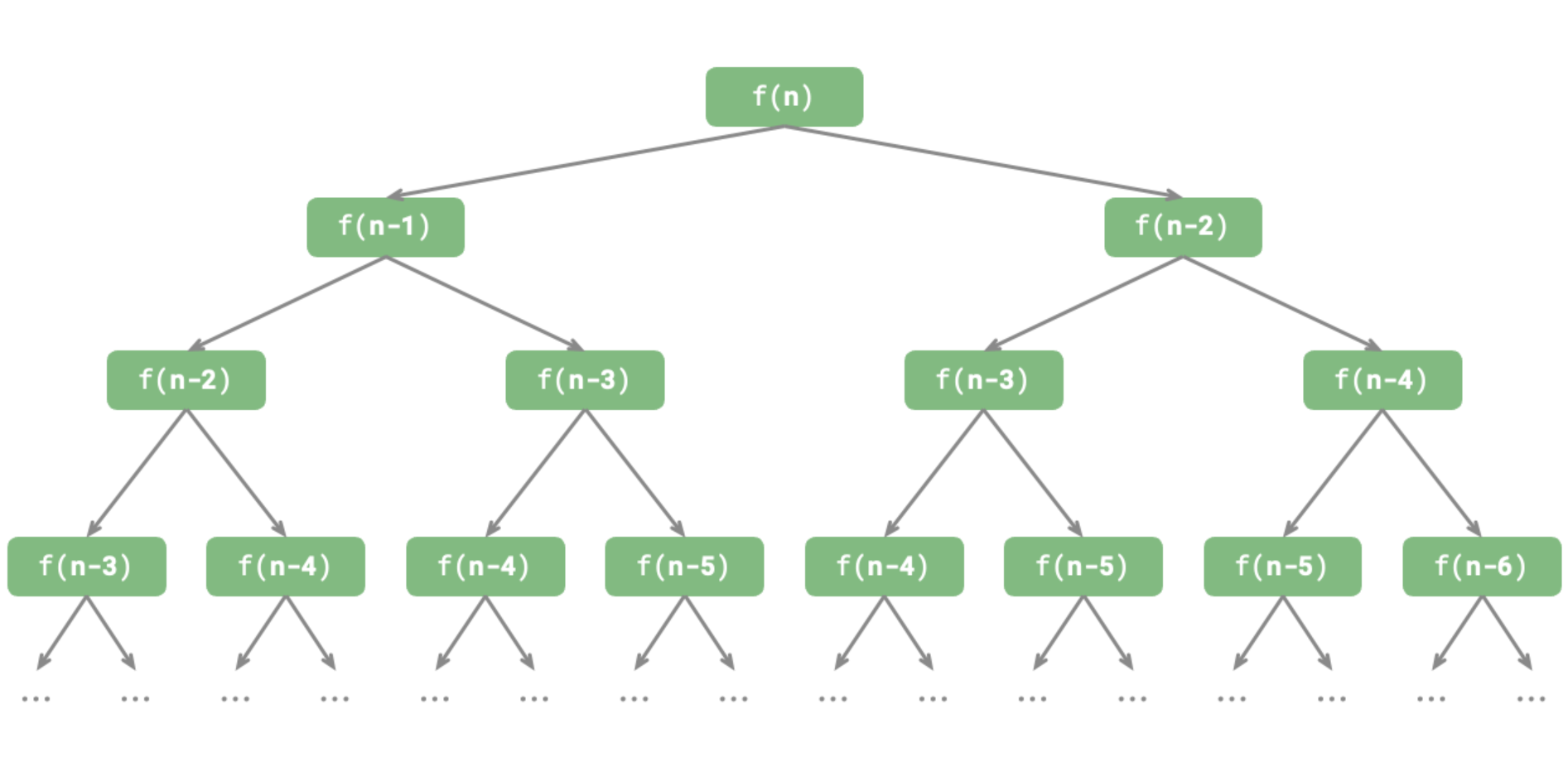
2.2 递归树
示例: 计算阶乘(n! = n * (n-1)! 使用基本情况 0! = 1)。
3. 分治算法的性质
分解: 将问题分解为更小的子问题(通常大小相等)。
征服: 递归地解决子问题。
合并: 合并子问题解以形成最终答案。
基本情况: 直接解决小实例(例如,排序中的单个元素)。
效率: 通常比暴力方法具有更好的时间复杂度。
4. 分治算法示例及时间复杂度
4.1 二分查找 O(log n)
bool check(int x) {/* ... */} // 检查x是否满足某条件
// 区间[l, r]被划分成[l, mid]和[mid + 1, r]时(向左查找)使用:
int bsearch_1(int l, int r)
{
while (l < r)
{
int mid = l + r >> 1;
if (check(mid)) r = mid; // check()判断mid是否满足性质
else l = mid + 1;
}
return l;
}// 区间[l, r]被划分成[l, mid - 1]和[mid, r]时(向右查找)使用:
int bsearch_2(int l, int r)
{
while (l < r)
{
int mid = l + r + 1 >> 1;
if (check(mid)) l = mid;
else r = mid - 1;
}
return l;
}
4.2 大整数乘法 O(n^(log 3)) ≈ O(n^1.59)
// 大整数相加:竖式加法
string add(string num1, string num2)
{
int carry = 0;
string result;
// 从最低位开始逐位相加
int i = num1.length() - 1;
int j = num2.length() - 1;
while (i >= 0 || j >= 0 || carry > 0)
{
int digit1 = (i >= 0) ? num1[i] - '0' : 0;
int digit2 = (j >= 0) ? num2[j] - '0' : 0;
int sum = digit1 + digit2 + carry;
carry = sum / 10; // 进位
result = to_string(sum % 10) + result; // 把当前位的结果加到最终结果的前面
i--;
j--;
}
return result;
}
// 大整数相减:竖式减法
string subtract(string num1, string num2)
{
string result;
int borrow = 0;
// 从最低位开始逐位相减
int i = num1.length() - 1;
int j = num2.length() - 1;
while (i >= 0)
{
int digit1 = num1[i] - '0';
int digit2 = (j >= 0) ? num2[j] - '0' : 0;
// 减去借位
int diff = digit1 - digit2 - borrow;
if (diff < 0)
{
diff += 10; // 借位
borrow = 1;
}
else
{
borrow = 0;
}
result = to_string(diff) + result; // 把当前位的结果加到最终结果的前面
i--;
j--;
}
// 去除结果中的前导零
size_t pos = result.find_first_not_of('0');
if (pos != string::npos)
{
result = result.substr(pos);
}
return (result.empty()) ? "0" : result;
}
// 大整数乘大整数
string multiply(string num1, string num2)
{
int n = num1.length();
int m = num2.length();
// 基本情况:如果有一个操作数为0,则结果为0
if (n == 0 || m == 0 || num1 == "0" || num2 == "0")
{
return "0";
}
// 基本情况:如果有一个操作数为1,则结果为另一个操作数
if (num1 == "1")
{
return num2;
}
if (num2 == "1")
{
return num1;
}
// 如果操作数很小,直接相乘
if (n <= 2 || m <= 2)
{
long long int result = stoll(num1) * stoll(num2);
return to_string(result);
}
// 将操作数分成两部分
int mid = min(n, m) / 2;
string num1Low = num1.substr(0, n - mid);
string num1High = num1.substr(n - mid);
string num2Low = num2.substr(0, m - mid);
string num2High = num2.substr(m - mid);
// 递归计算子问题的乘积
string z0 = multiply(num1Low, num2Low);
string z1 = multiply(num1High, num2High);
string z2 = multiply(add(num1Low, num1High), add(num2Low, num2High));
string z3 = subtract(subtract(z2, z1), z0);
// 计算最终的乘积
string result = add(add(z0 + string(mid * 2, '0'), z1), z3 + string(mid, '0'));
return result;
} //result
for (int i = 0; i < max_len; i++) result += '0'; // 高位部分补零
result = add(result, add(part1, part2));
4.3 哈密顿塔 O(2^n)
Warning
不属于分治,为递归,正式提交已删除
void Hanoi(int n, char A, char B, char C)
{
if(n<1) return;
if (n == 1)
{
//圆盘只有一个时,只需将其从A塔移到C塔
cout << "move " << n << " from " << A << " to " << C << endl;
}
else
{
Hanoi(n - 1, A, C, B);//递归,把A塔上编号1~n-1的圆盘移到B上,以C为辅助塔
cout << "move " << n << " from " << A << " to " << C << endl;//把A塔上编号为n的圆盘移到C上
Hanoi(n - 1, B, A, C);//递归,把B塔上编号1~n-1的圆盘移到C上,以A为辅助塔
}
}
4.4 归并排序 O(n log n)
/* 合并左子数组和右子数组 */
void merge(int nums[], int left, int mid, int right) {
// 左子数组区间为 [left, mid], 右子数组区间为 [mid+1, right]
// 创建一个临时数组 tmp ,用于存放合并后的结果
int tmp[right - left + 1];
// 初始化左子数组和右子数组的起始索引
int i = left, j = mid + 1, k = 0;
// 当左右子数组都还有元素时,进行比较并将较小的元素复制到临时数组中
while (i <= mid && j <= right) {
if (nums[i] <= nums[j])
tmp[k++] = nums[i++];
else
tmp[k++] = nums[j++];
}
// 将左子数组和右子数组的剩余元素复制到临时数组中
while (i <= mid) {
tmp[k++] = nums[i++];
}
while (j <= right) {
tmp[k++] = nums[j++];
}
// 将临时数组 tmp 中的元素复制回原数组 nums 的对应区间
for (k = 0; k < sizeof(tmp) / sizeof(tmp[0]); k++) {
nums[left + k] = tmp[k];
}
}
/* 归并排序 */
void mergeSort(int nums[], int left, int right) {
// 终止条件
if (left >= right)
return; // 当子数组长度为 1 时终止递归
// 划分阶段
int mid = left + (right - left) / 2; // 计算中点
mergeSort(nums, left, mid); // 递归左子数组
mergeSort(nums, mid + 1, right); // 递归右子数组
// 合并阶段
merge(nums, left, mid, right);
}
4.5 快速排序 平均情况 O(n log n) ; 最好情况 O(n log n) ; 最坏情况 O(n^2)
void quick_sort(int q[], int l, int r)
{
if (l >= r) return;
int i = l - 1, j = r + 1, x = q[l + r >> 1];
while (i < j)
{
do i ++ ; while (q[i] < x);
do j -- ; while (q[j] > x);
if (i < j) swap(q[i], q[j]);
}
quick_sort(q, l, j), quick_sort(q, j + 1, r);
}
4.6 快速选择 平均情况 O(n) ; 最好情况 O(n) ; 最坏情况 O(n^2)
int partition(int a[], int left, int right, int pivot)
{
int i = left, j = right;
while (i <= j)
{
while (a[i] < pivot)
i++;
while (a[j] > pivot)
j--;
if (i < j)
swap(a[i], a[j]);
else
return j;
}
return -1;
}
int quickSelect(int a[], int left, int right, int k)
{
if (left == right)
return a[left];
int pivot = a[left + right >> 1];
int pos = partition(a, left, right, pivot); // 找到pivot的位置
if (pos == k - 1)
return a[pos];
else if (pos > k - 1) // pivot在k左边
return quickSelect(a, left, pos - 1, k);
else // pivot在k右边
return quickSelect(a, pos + 1, right, k);
}
4.7 最近点对问题 O(n log n)
//定义点class Point
{
public:
int x, y;
};
// 按X坐标排序的比较函数
int compareX(const void *a, const void *b)
{
Point *p1 = (Point *)a, *p2 = (Point *)b;
return (p1->x - p2->x);
}
// 按Y坐标排序的比较函数
int compareY(const void *a, const void *b)
{
Point *p1 = (Point *)a, *p2 = (Point *)b;
return (p1->y - p2->y);
}
// 计算两点之间的距离
float dist(Point p1, Point p2)
{
return sqrt((p1.x - p2.x) * (p1.x - p2.x) +
(p1.y - p2.y) * (p1.y - p2.y));
}
// 暴力方法,用于找到点集P中任意两点的最小距离
float bruteForce(Point P[], int n)
{
float minDist = FLT_MAX;
for (int i = 0; i < n; ++i)
for (int j = i + 1; j < n; ++j)
if (dist(P[i], P[j]) < minDist)
minDist = dist(P[i], P[j]);
return minDist;
}
// 返回两个浮点数中的较小值
float min(float x, float y)
{
return (x < y) ? x : y;
}
// 查找strip中点对的最小距离
// strip[]中的点按Y坐标排序,且所有点到中间线的距离小于d
float stripClosest(Point strip[], int size, float d)
{
float minDist = d; // 初始化最小距离为d
qsort(strip, size, sizeof(Point), compareY);
// 遍历strip中的每个点,并尝试与后续点配对
// 只要y坐标之差小于当前最小距离
for (int i = 0; i < size; ++i)
for (int j = i + 1; j < size && (strip[j].y - strip[i].y) < minDist; ++j)
if (dist(strip[i], strip[j]) < minDist)
minDist = dist(strip[i], strip[j]);
return minDist;
}
// 递归函数,用于查找点集P的最小距离
float closestUtil(Point P[], int n)
{
// 如果点数为2或3,使用暴力方法
if (n <= 3)
return bruteForce(P, n);
// 找到中间点
int mid = n / 2;
Point midPoint = P[mid];
// 计算中间线左侧的最小距离dl
float dl = closestUtil(P, mid);
// 计算中间线右侧的最小距离dr
float dr = closestUtil(P + mid, n - mid);
// 取dl和dr中的较小值为d
float d = min(dl, dr);
// 构建strip数组,包含所有距离中间线小于d的点
Point strip[n];
int j = 0;
for (int i = 0; i < n; i++)
if (abs(P[i].x - midPoint.x) < d)
strip[j] = P[i], j++;
// 查找strip中的最小距离,并与d比较,返回较小值
return min(d, stripClosest(strip, j, d));
}
// 调用closestUtil()查找最小距离
float closest(Point P[], int n)
{
qsort(P, n, sizeof(Point), compareX);
return closestUtil(P, n);
}
基本情况: 当点数≤3 时,使用暴力方法计算所有两两之间的距离。
分而治之:
- 按 x 坐标排序,以中位数分割
- 递归查找 DL(left) & DR(right)
- D 是 DL 和 DR 的最小值
合并步骤: 沿着中位数线检查 D 宽度带内的点(按 y 坐标排序),比较相邻点; 合并步骤通过 y 排序和有限比较实现 O(n)时间复杂度